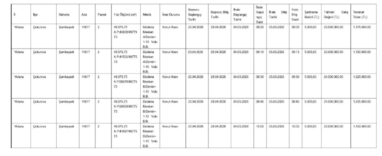
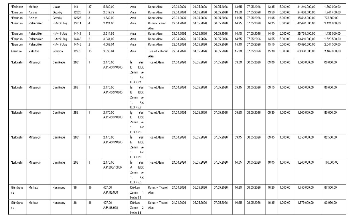
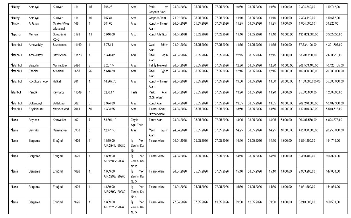
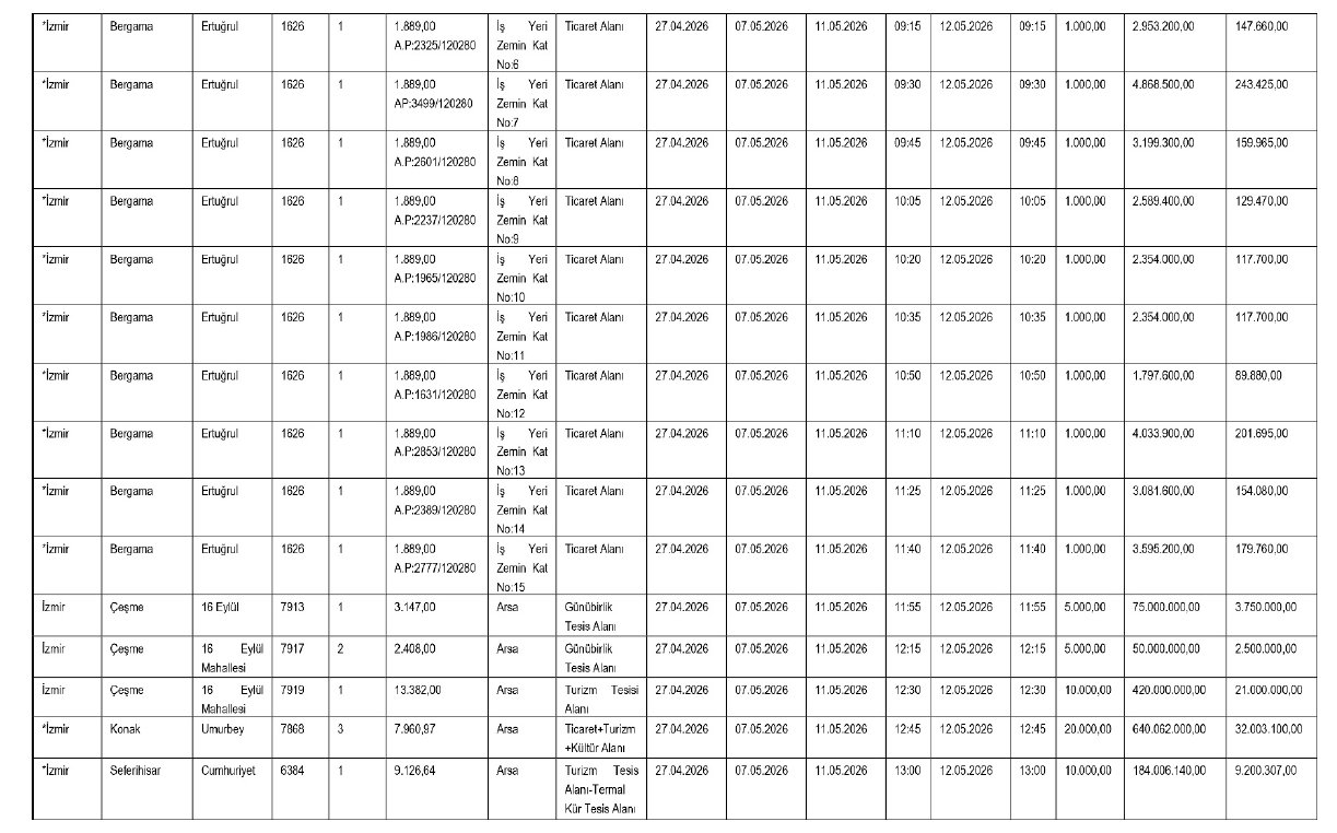
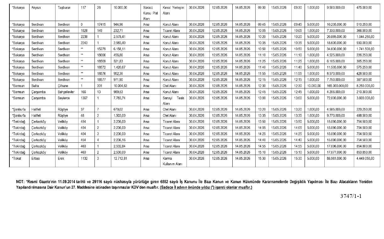
SOSYAL Güvenlik Kurumu (SGK) Başkanlığı, Türkiye’nin dört bir yanındaki gayrimenkullerini ekonomiye kazandırmak amacıyla ihale süreci başlattı. Kurum tarafından yayımlanan resmi duyuruya göre Adana, Ankara, Antalya, Aydın ve Tekirdağ gibi illerde bulunan arsa, iş yeri, konut ve dükkan niteliğindeki taşınmazlar açık artırma usulü ile yeni sahiplerini bulacak. Satışlar, 4 Mayıs ile 15 Mayıs 2026 tarihleri arasında SGK’nın Elektronik Satış Portalı üzerinden gerçekleştirilecek.
TÜRKİYE GENELİNDE İHALE
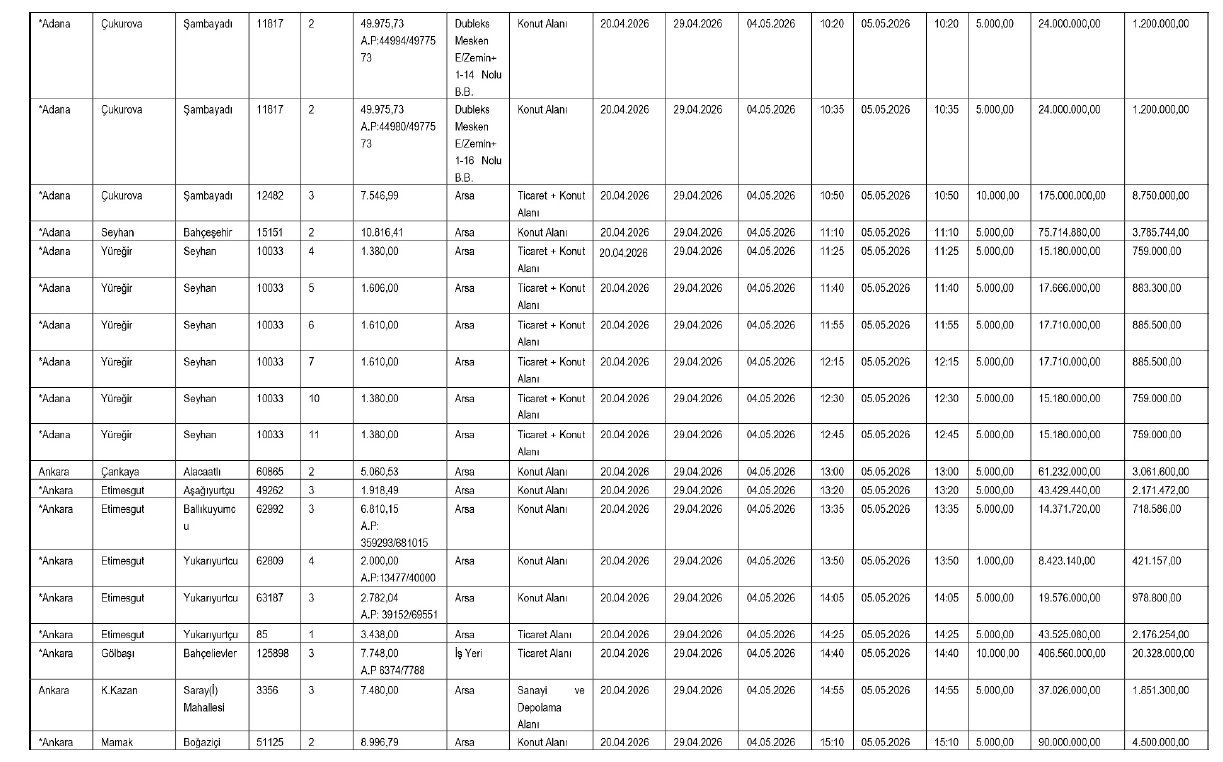
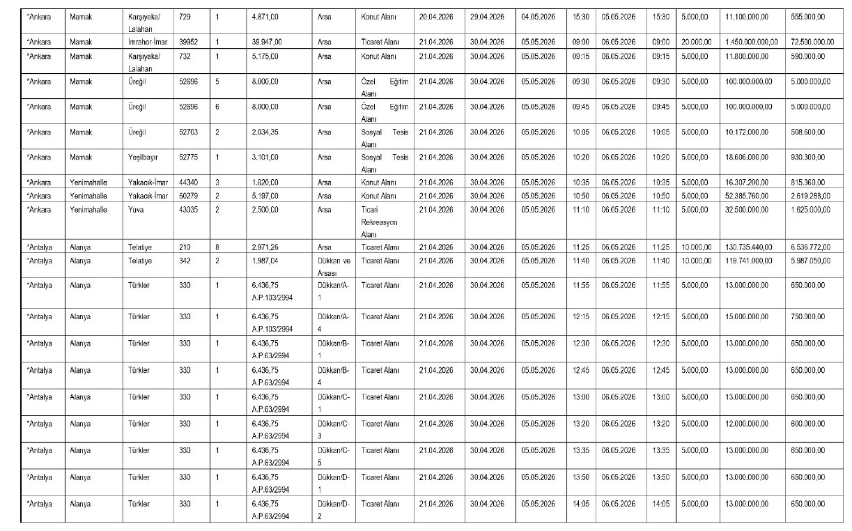
14 Nisan 2026 tarihli Resmi Gazete'de yayımlanan ilana göre, ihale kapsamında Adana Çukurova’da lüks dubleks meskenler 23 milyon TL’den başlayan fiyatlarla satışa sunulurken Ankara Mamak’ta ticaret alanı niteliğindeki dev bir parsel için 1 milyar 450 milyon TL tahmini bedel belirlendi. Başkentte ayrıca Gölbaşı’nda 406 milyon TL değerinde iş yerleri ve Yenimahalle’de konut alanları da yatırımcıların takibinde.

Satış listesinin en dikkat çekici kısmını ise turizmin kalbi Antalya oluşturuyor. Antalya özelinde Alanya ve Serik ilçelerindeki taşınmazlar, yüksek yatırım potansiyelleriyle listenin üst sıralarında yer alıyor.
ANTALYA GENELİNDEKİ SATIŞ DETAYLARI
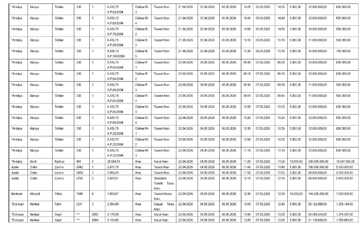
Sosyal Güvenlik Kurumu’nun (SGK) Antalya listesinde turizm bölgelerindeki yüksek değerli taşınmazlar öne çıkıyor. Alanya ilçesi Türkler Mahallesi’nde yer alan 330 ada 1 parsel üzerindeki çok sayıda dükkan yatırımcıya açıldı. A’dan H bloğuna kadar geniş bir yelpazeye yayılan bu dükkanların tahmini satış değerleri metrekarelerine göre 10 milyon 872 bin TL ile 15 milyon 114 bin TL arasında değişiyor. Yine Alanya’nın Telatiye (Konaklı) bölgesinde, yaklaşık 3 bin metrekare büyüklüğündeki ticaret alanı nitelikli arsa için 130 milyon 735 bin TL değer biçilirken; aynı mahallede bulunan bir başka dükkan ve arsası için 119 milyon 741 bin TL muhammen bedel açıklandı. Antalya listesinin en dikkat çeken ve en yüksek bedelli taşınmazı ise Serik ilçesi Kadriye Mahallesi’nde yer alıyor. Burada bulunan 20 bin 684 metrekarelik devasa konut alanı, tam 330 milyon 959 bin TL tahmini satış bedeliyle ihalenin en gözde yatırım fırsatlarından biri olarak kayıtlara geçti.

SATIŞ ŞARTLARI VE BAŞVURU SÜRECİ
SGK, ihaleye katılmak isteyen vatandaşlar ve yatırımcılar için başvuru şartlarını da netleştirdi. İhale başvuruları, e-Devlet üzerinden erişilen 'Sosyal Güvenlik Kurumu Elektronik Satış Portalı' (https://net.sgk.gov.tr/EIhale/) aracılığıyla yapılacak. İhaleye katılacakların, belirlenen teminat tutarını (Antalya'daki taşınmazlar için 500 bin TL ile 16,5 milyon TL arasında değişiyor) nakit olarak bankaya yatırmaları veya süresiz kesin teminat mektubunu ilgili birimlere teslim etmeleri gerekiyor.
Ayrıntılı bilgi almak isteyen vatandaşlar, Ankara’daki ilgili birimlere telefon yoluyla ulaşarak bilgi alabilir.















